服務近2000家企業,依托一系列實踐中打磨過的技術和產品,根據企業的具體業務問題和需求,針對性的提供各行業大數據解決方案。
無線點餐系統軟件功能設計
來源:未知 時間:2021-04-30 瀏覽次數:207次
一.設計目標- 是為了開發一種可以方便消費者點菜,更人性化,貼心的點菜系統。
- 系統界面友好,功能完善,既便于顧客查看、點菜,又利于酒店管理。
適用于中高檔餐廳、酒店、酒樓等餐飲企業。
三.用戶角色分析
客戶:客戶是該系統的主要使用者,操作簡單,無需進行繁瑣的數據輸入操作。對客戶的計算機系統使用技能無任何要求,識字即會使用。
管理人員:作為酒店管理人員在使用該系統時也無需進行繁瑣操作,只要熟悉管理流程,稍加培訓即可上崗。
該系統由服務器端,手持端,廚房端外接ZigBee來實現無線通訊而構成,該網絡拓撲圖如圖3.1。
四.系統功能設計
1.系統組成
該系統由服務器端,手持端,廚房端外接ZigBee來實現無線通訊而構成
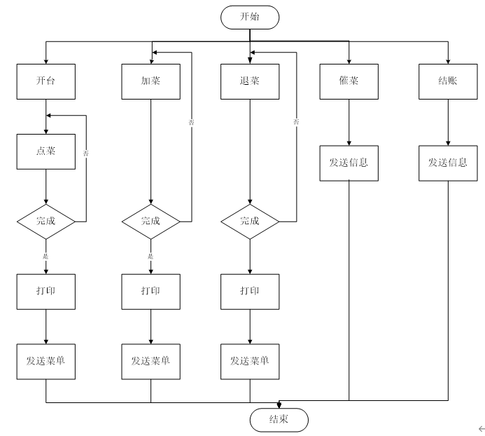
2.手持客戶端子系統
初始化菜單:服務員終端開機后,通過無線接收模塊從服務器數據庫下載并初始化菜譜。
開臺:在客戶坐定后,服務員發送桌號服務端,進行開臺操作。
點菜:開臺后記錄客戶點菜信息并發送至服務器。
加菜:選擇需要加菜的臺號,并加入客戶需要點的菜發送至服務器。
退菜:選擇需要退菜的臺號,選擇用戶需要退訂的菜,等待服務器返回信息。
催菜:選擇需要催菜的臺號及需要催的菜,發送至服務器。
結賬:向服務器發送當前需要結賬的臺號并接收服務端發送的賬單顯示。
發送菜單:把顧客點所菜的編號以及點菜時間串分條發送至服務器。

3.服務器端子系統
圖3.3為服務器端流程圖,該模塊有以下功能:
登錄:服務器端的用戶賬號和密碼建立對應的服務,經服務器檢驗,確定是否有效,如果密碼或用戶賬號無效則登錄失敗服務器拒絕提供進一步的服務直到驗證通過。
用戶管理:管理員用戶擁有用戶管理權限,其操作包括用戶的添加、刪除、修改信息(權限(收銀員(前臺管理員)和管理員)、密碼、用戶名、性別、聯系方式、身份證號)。
菜品管理:管理員用戶擁有菜品管理權限,其操作包括添加菜品,刪除菜品,修改菜品的信息(菜品的單價、菜品菜品菜品名、狀態、所屬類別,備注)以及設定廚師個數。
客戶端初始化:包括服務員終端初始化(菜品列表中的菜品的編號、名稱、單價、菜品所屬類型、菜品狀態、備注)和廚房終端初始化(查詢服務器的是否菜可做,有菜則發送)。
處理客戶菜單信息:將對應的臺號開臺,然后建立對應臺號的消費表,并將數據按順序插入未完成菜的表單中。
處理加菜信息:將信息模塊發送的內容信息分割得到需要處理信息,檢查未完成菜的表單中是否還有對于這桌的菜,如果有的話則將這個菜的優先級改為默認,否則優先級改為1,,插入未完成菜的表單中返回點菜受理信息。
處理退菜信息:前期信息處理同加菜處理,提取信息后檢查當前需要退的菜是否在未完成菜的表中,如果還在未未完成的菜的表單中則從表單中刪除此菜返回退才成功,其它則返回退菜失敗信息。
處理催菜信息:檢查對應的桌菜單是否有這個菜,如果有或者已經完成則將對應的菜的優先級調至催菜狀態返回催菜成功,如果沒有這個菜則返回催菜失敗。
廚房信息處理:服務信息分兩類,首先是菜單更新信息,接收到此類信息則服務器將已經準備好的需要制作的菜單發送至廚房,其次是廚房的對于菜品原材料缺失信息的返回,接收到信息后將對應的菜譜的表單中狀態改變為缺菜,并向所有服務員終端發送對應菜品缺失的消息。
菜選取處理:從未完成的菜的表中選取10個優先級大于0的菜,如果菜未滿10個則按時間序列選擇較小時間序列的菜發送至廚房每發送一條則判斷菜的所屬桌號,加入對應的桌號的已完成表單中。
結算:服務器收到服務員端的針對某一桌的結賬信息后,對應的結算的桌號的消費單中所有已經完成的菜品統計添加相應的交易號,顯示或打印賬單,提示當前登錄的空閑的收銀員收銀,結算完畢后將賬單數據移至當日詳細營業歷史表并加上對應的交易號,刪除當前桌的消費表。
信息接收塊:將接受到得數據進行分割,獲取用戶的用戶編號操作命令字及操作內容的信息并分類調用相關處理模塊進行對應的數據處理。
信息發送塊:區分消息發送的用戶并加上對應的命令字以及操作信息發送至對應的服務終端。
圖3.3為服務器端流程圖,該模塊有以下功能:
登錄:服務器端的用戶賬號和密碼建立對應的服務,經服務器檢驗,確定是否有效,如果密碼或用戶賬號無效則登錄失敗服務器拒絕提供進一步的服務直到驗證通過。
用戶管理:管理員用戶擁有用戶管理權限,其操作包括用戶的添加、刪除、修改信息(權限(收銀員(前臺管理員)和管理員)、密碼、用戶名、性別、聯系方式、身份證號)。
菜品管理:管理員用戶擁有菜品管理權限,其操作包括添加菜品,刪除菜品,修改菜品的信息(菜品的單價、菜品菜品菜品名、狀態、所屬類別,備注)以及設定廚師個數。
客戶端初始化:包括服務員終端初始化(菜品列表中的菜品的編號、名稱、單價、菜品所屬類型、菜品狀態、備注)和廚房終端初始化(查詢服務器的是否菜可做,有菜則發送)。
處理客戶菜單信息:將對應的臺號開臺,然后建立對應臺號的消費表,并將數據按順序插入未完成菜的表單中。
處理加菜信息:將信息模塊發送的內容信息分割得到需要處理信息,檢查未完成菜的表單中是否還有對于這桌的菜,如果有的話則將這個菜的優先級改為默認,否則優先級改為1,,插入未完成菜的表單中返回點菜受理信息。
處理退菜信息:前期信息處理同加菜處理,提取信息后檢查當前需要退的菜是否在未完成菜的表中,如果還在未未完成的菜的表單中則從表單中刪除此菜返回退才成功,其它則返回退菜失敗信息。
處理催菜信息:檢查對應的桌菜單是否有這個菜,如果有或者已經完成則將對應的菜的優先級調至催菜狀態返回催菜成功,如果沒有這個菜則返回催菜失敗。
廚房信息處理:服務信息分兩類,首先是菜單更新信息,接收到此類信息則服務器將已經準備好的需要制作的菜單發送至廚房,其次是廚房的對于菜品原材料缺失信息的返回,接收到信息后將對應的菜譜的表單中狀態改變為缺菜,并向所有服務員終端發送對應菜品缺失的消息。
菜選取處理:從未完成的菜的表中選取10個優先級大于0的菜,如果菜未滿10個則按時間序列選擇較小時間序列的菜發送至廚房每發送一條則判斷菜的所屬桌號,加入對應的桌號的已完成表單中。
結算:服務器收到服務員端的針對某一桌的結賬信息后,對應的結算的桌號的消費單中所有已經完成的菜品統計添加相應的交易號,顯示或打印賬單,提示當前登錄的空閑的收銀員收銀,結算完畢后將賬單數據移至當日詳細營業歷史表并加上對應的交易號,刪除當前桌的消費表。
信息接收塊:將接受到得數據進行分割,獲取用戶的用戶編號操作命令字及操作內容的信息并分類調用相關處理模塊進行對應的數據處理。
信息發送塊:區分消息發送的用戶并加上對應的命令字以及操作信息發送至對應的服務終端。

4.廚房端子系統
圖3.3為服務器端流程圖,該模塊有以下功能:
信息接受:接受從服務器傳過來的菜單信息。菜單更新處理,做完一道菜之后,查詢當前廚房未做菜和廚師人數比較如果菜數小于廚師數則請求服務器發送新的表單。
缺菜處理:當前菜單中的菜缺失材料或其它情況不能做出則返回對應菜的缺菜信息。
圖3.3為服務器端流程圖,該模塊有以下功能:
信息接受:接受從服務器傳過來的菜單信息。菜單更新處理,做完一道菜之后,查詢當前廚房未做菜和廚師人數比較如果菜數小于廚師數則請求服務器發送新的表單。
缺菜處理:當前菜單中的菜缺失材料或其它情況不能做出則返回對應菜的缺菜信息。

5.性能設計
響應性:所有選菜響應時間一般不超過5S。
更新處理時間:所有提交的新的菜品的數據一般在3S內響應。響應性:所有選菜響應時間一般不超過5S。
- 上一篇: 一文讀懂pytorch軟件開發基礎語法
- 下一篇: log4漏洞修復方法

掃一掃